Задать свой вопрос   *более 50 000 пользователей получили ответ на «Решим всё»

Задача 24637 Тонкий однородный стержень длиной 50 см...

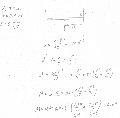
Условие

Тонкий однородный стержень длиной 50 см и массой 400 г вращается с угловым ускорением 3 рад/с^2 около оси, проходящей перпендикулярно стержню через его конец. Определить вращающий момент.

физика ВУЗ 14795

Решение



Ответ: В решение

Написать комментарий

Меню

Присоединяйся в ВК