Задать свой вопрос   *более 50 000 пользователей получили ответ на «Решим всё»

Задача 24636 Два маленьких шарика по 10 г каждый...

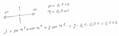
Условие

Два маленьких шарика по 10 г каждый скреплены тонким невесомым стержнем длиной 20 см. Определить момент инерции системы относительно оси, перпендикулярной стержню и проходящей через центр масс.

физика ВУЗ 5193

Решение



Ответ: В решение

Написать комментарий

Меню

Присоединяйся в ВК