Задать свой вопрос   *более 50 000 пользователей получили ответ на «Решим всё»

Задача 24634 Тело массой 2 кг движется прямолинейно...

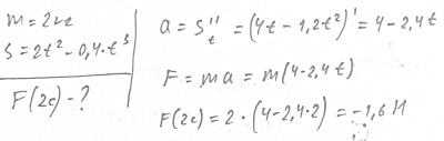
Условие

Тело массой 2 кг движется прямолинейно по закону s= 2t^2 – 0,4t^3 . Определить силу, действующую на тело в конце второй секунды движения.

физика ВУЗ 7070

Решение



Ответ: В решение

Написать комментарий

Меню

Присоединяйся в ВК