Задать свой вопрос   *более 50 000 пользователей получили ответ на «Решим всё»

Задача 24632 Определить момент инерции тонкого...

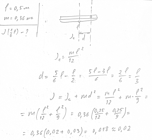
Условие

Определить момент инерции тонкого однородного стержня длиной 50 см и массой 360 г относительно оси, перпендикулярной стержню и проходящей через точку, отстоящую от конца стержня на 1/6 его длины.( Ответ округлить до сотых).

физика ВУЗ 14737

Решение



Ответ: В решение

Написать комментарий

Меню

Присоединяйся в ВК