Задать свой вопрос   *более 50 000 пользователей получили ответ на «Решим всё»

Задача 24631 ...

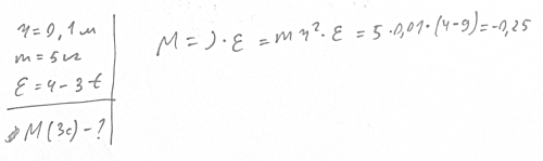
Условие

Шар радиусом 10 см и массой 5 кг вращается вокруг оси симметрии, при этом его угловое ускорение изменяется по закону ε = 4 - 3t. Определить момент силы, действующей на шар для момента времени 3 с.

физика ВУЗ 6011

Решение



Ответ: В решение

Написать комментарий

Меню

Присоединяйся в ВК