Задать свой вопрос   *более 50 000 пользователей получили ответ на «Решим всё»

Задача 2462 По горизонтальной поверхности пола...

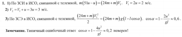
Условие

По горизонтальной поверхности пола движется со скоростью u = 1 м/с тележка со штативом, к которому на нити длиной l = 0,5 м привязан шар (см. рис.). Пуля, летящая горизонтально со скоростью 51u, попадает в шар и застревает в нём. Массы нули и шара m и 24m, масса тележки намного больше массы шара. Направления всех движений находятся в одной вертикальной плоскости. Размеры шара малы но сравнению с длиной нити.
1) Найдите скорость шара v1 относительно тележки сразу после попадания пули.
2) Найдите скорость шара v2 относительно пола сразу после попадания пули.
3) Па какой максимальный угол от вертикали отклонится нить при дальнейших колебаниях шара?

физика 10-11 класс 6548

Решение



Ответ: В решение

Написать комментарий

Меню

Присоединяйся в ВК