Задать свой вопрос   *более 50 000 пользователей получили ответ на «Решим всё»

Задача 24560 Материальная точка движется по...

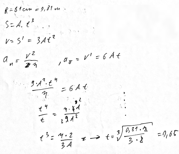
Условие

Материальная точка движется по окружности радиусом 81 см согласно уравнению S = At^3, где А = 2 м/с^3. В какой момент времени нормальное ускорение точки будет равно тангенциальному? Ответ дать с точностью до сотых.

физика ВУЗ 6584

Решение



Ответ: В решение

Написать комментарий

Меню

Присоединяйся в ВК