Задать свой вопрос   *более 50 000 пользователей получили ответ на «Решим всё»

Задача 24556 Колесо вращается по закону фи = А + Bt –...

Условие

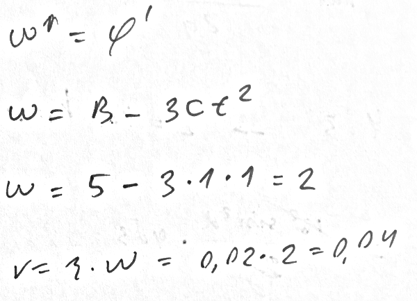
Колесо вращается по закону фи = А + Bt – Ct^3 , где А = 4 рад, В = 5 рад/с,

С = 1 рад/с^3. Найти для момента времени t = 1 с линейную скорость точек, лежащих на ободе колеса. Радиус колеса 2 см.

физика ВУЗ 6731

Решение



Ответ: В решение

Написать комментарий

Меню

Присоединяйся в ВК