Задать свой вопрос   *более 50 000 пользователей получили ответ на «Решим всё»

Задача 24554 Зависимость угловой скорости от времени...

Условие

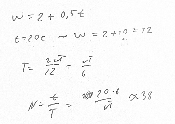
Зависимость угловой скорости от времени для вращающейся материальной точки имеет вид w = A + Bt, где А = 2 рад/с, В = 0,5 рад/с^2. Найти полное число оборотов, совершенное точкой за 20 с после начала вращения.

физика ВУЗ 7261

Решение



Ответ: 38

Написать комментарий

Меню

Присоединяйся в ВК