Задать свой вопрос   *более 50 000 пользователей получили ответ на «Решим всё»

Задача 24553 Под каким углом к горизонту нужно...

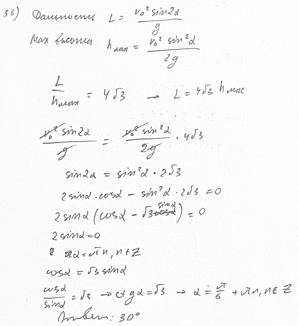
Условие

Под каким углом к горизонту нужно бросить камень, чтобы дальность его полета была в 4sqrt(3) раз больше максимальной высоты подъема? Указать острый угол в градусах.

физика ВУЗ 12549

Решение



Ответ: В решение

Написать комментарий

Меню

Присоединяйся в ВК