Задать свой вопрос   *более 50 000 пользователей получили ответ на «Решим всё»

Задача 24548 Период вращения платформы карусельного...

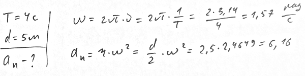
Условие

Период вращения платформы карусельного станка 4 с. Найти центростремительное ускорение крайних точек платформы, если ее диаметр равен 5 м. Ответ округлить до десятых.

физика ВУЗ 18303

Решение



Ответ: В решение

Написать комментарий

Меню

Присоединяйся в ВК