Задать свой вопрос   *более 50 000 пользователей получили ответ на «Решим всё»

Задача 24547 Какой путь пройдет автомобиль за 10 с...

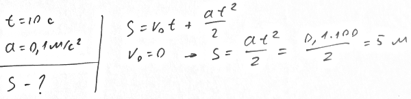
Условие

Какой путь пройдет автомобиль за 10 с после начала движения, двигаясь с ускорением 0,1 м/с^2?

физика ВУЗ 8083

Решение



Ответ: В решение

Написать комментарий

Меню

Присоединяйся в ВК