Задать свой вопрос   *более 50 000 пользователей получили ответ на «Решим всё»

Задача 24546 ...

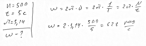
Условие

Равномерно вращающийся шкив делает 500 оборотов за 5 секунд. Определить угловую скорость вращения шкива. Число π = 3,14.

физика ВУЗ 3865

Решение



Ответ: 628

Написать комментарий

Меню

Присоединяйся в ВК