Задать свой вопрос   *более 50 000 пользователей получили ответ на «Решим всё»

Задача 24431 Помогите пожалуиста...

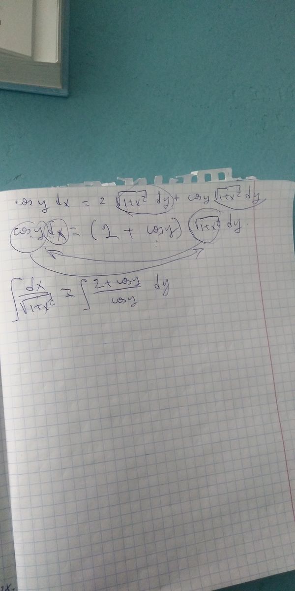
Условие

Помогите пожалуиста

предмет не задан 469

Решение

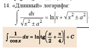
Первый интеграл табличный
ln|x+sqrt(x^2+1)|

Второй интеграл представляем как сумму двух:
∫2dy/cosy- табличный = 2 ln|tg((x/2)+(Pi/4)))
∫ dy=y

Написать комментарий

Меню

Присоединяйся в ВК