Задать свой вопрос   *более 50 000 пользователей получили ответ на «Решим всё»

Задача 2402 Идеальный многоатомный газ совершает...

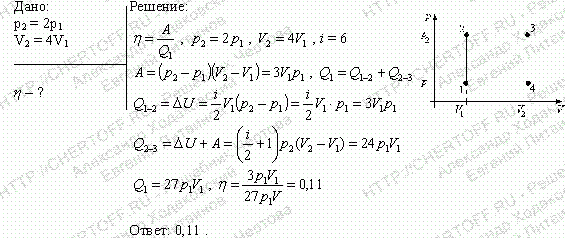
Условие

Идеальный многоатомный газ совершает цикл, состоящий из 2 изохор и 2 изобар, причем наибольшее давление газа в два раза больше наименьшего, а наибольший объем в 4 раза больше наименьшего. определить термический КПД цикла.

физика ВУЗ 6548

Все решения

Написать комментарий

Меню

Присоединяйся в ВК