Задать свой вопрос   *более 50 000 пользователей получили ответ на «Решим всё»

Задача 23649 В розыгрыше первенства по баскетболу...

Условие

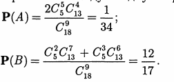
В розыгрыше первенства по баскетболу участвуют 18 ко­манд, из которых случайным образом формируются две группы по 9 команд в каждой. Среди участников соревнований имеется 5 ко­манд экстракласса. Найти вероятности следующих событий: А — все команды экстракласса попадут в одну и ту же группу; В — две
команды экстракласса попадут в одну из групп, а три — в другую.

математика ВУЗ 21368

Решение



Ответ: В решение

Написать комментарий

Меню

Присоединяйся в ВК