Задать свой вопрос   *более 50 000 пользователей получили ответ на «Решим всё»

Задача 23644 В урне а белых и b черных шаров (а > =...

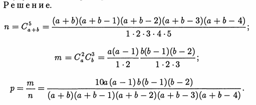
Условие

В урне а белых и b черных шаров (а > = 2, b > = 3). Из урны вынимают сразу пять шаров. Найти вероятность р того, что два из них будут белыми, а три черными.

математика ВУЗ 3972

Решение



Ответ: В решение

Написать комментарий

Меню

Присоединяйся в ВК