Задать свой вопрос
*более 50 000 пользователей получили ответ на «Решим всё»
Задача 2351
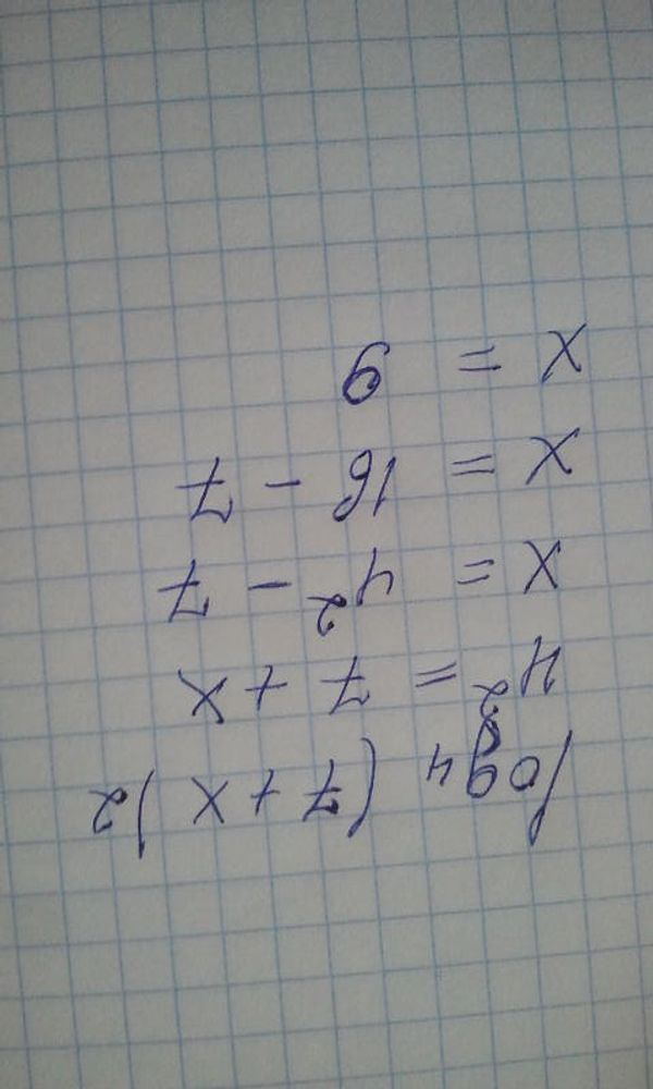
Найдите корень уравнения log4 (7 + x) =...
Условие
slava191
26.11.2014
Найдите корень уравнения log4 (7 + x) = 2
математика 10-11 класс
12329
Решение
7+x=4^2
7+x=16
x=9
Ответ:
9
Все решения
Гость
26.04.2015
Написать комментарий
Меню
Решим всё
Найти задачу
Категории
Статьи
Тесты
Архив задач
Присоединяйся в ВК