Задать свой вопрос   *более 50 000 пользователей получили ответ на «Решим всё»

Задача 23440 Задача на фото. Я не понимаю как делать...

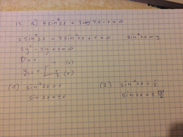
Условие

Задача на фото. Я не понимаю как делать дальше, что вообще дает «-« перед числом?

математика 10-11 класс 630

Решение

Получили четыре уравнения
1) sin2x=1
2x=(Pi/2)+2Pin, n ∈ Z
[b]x=(Pi/4)+Pin, n ∈ Z[/b]

2) sin2x=-1
2x=(-Pi/2)+2Pin, n ∈ Z
[b] x=(-Pi/4)+Pin, n ∈ Z[/b]

О т в е т ы 1) и 2) можно записать вместе
[b] х=(Pi/4)+(Pi/2)*n, n ∈ Z[/b]

3)sin2x=sqrt(2)/2
2x=(-1)^k(Pi/4)+Pik, k ∈ Z
x=(-1)^k(Pi/8)+(Pi/2)k, k ∈ Z
При k=2m получим
х=(Pi/8)+(Pi/2)*2m, m ∈ Z
[b] х=(Pi/8)+Pim, m ∈ Z[/b]
При k=2m+1 получим
х=(-Pi/8)+(Pi/2)*(2m+1), m ∈ Z
х=(-Pi/8)+(Pi/2) +Pim, m ∈ Z
[b] х=(3Pi/8)+Pim, m ∈ Z[/b]

4)sin2x=-sqrt(2)/2
2x=(-1)^k(-Pi/4)+Pik, k ∈ Z
x=(-1)^k(-Pi/8)+(Pi/2)k, k ∈ Z
При k=2m получим
х=(-Pi/8)+(Pi/2)*2m, m ∈ Z
[b] х=(-Pi/8)+Pim, m ∈ Z[/b]
При k=2m+1 получим
х=(Pi/8)+(Pi/2)*(2m+1), m ∈ Z
х=(Pi/8)+(Pi/2) +Pim, m ∈ Z
[b] х=(5Pi/8)+Pim, m ∈ Z[/b]

2 ответа 3) и 2 ответа 4) можно записать вместе
[b] х=(Pi/8)+(Pi/2)*n, n∈ Z[/b]

Все решения

эй дурпа

Написать комментарий

Меню

Присоединяйся в ВК