Задать свой вопрос   *более 50 000 пользователей получили ответ на «Решим всё»

Задача 23297 Найти частные и полное приращения...

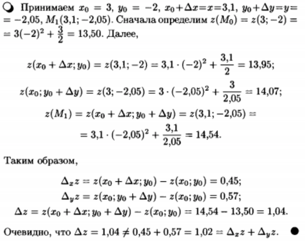
Условие

Найти частные и полное приращения функции z = xy^2-x/y в точке М0(3; -2) при приращениях аргументов Delta x = 0,1 и Delta у = -0,05.

математика ВУЗ 3214

Решение



Ответ: В решение

Написать комментарий

Меню

Присоединяйся в ВК