Задать свой вопрос
*более 50 000 пользователей получили ответ на «Решим всё»
Задача 23149
Найти площадь поверхности, образованной...
Условие
slava191
31.01.2018
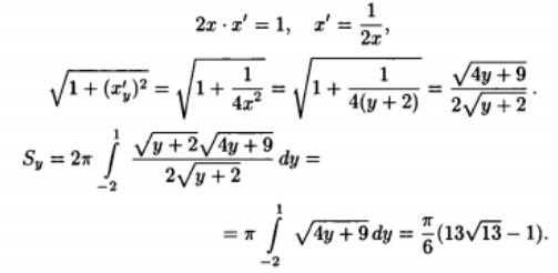
Найти площадь поверхности, образованной вращением кривой x^2=y+2,y=1 вокруг оси Оу
математика ВУЗ
1942
Решение
Ответ:
В решение
Написать комментарий
Меню
Решим всё
Найти задачу
Категории
Статьи
Тесты
Архив задач
Присоединяйся в ВК