Задать свой вопрос   *более 50 000 пользователей получили ответ на «Решим всё»

Задача 23146 Найти объем тела, образованного...

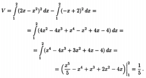
Условие

Найти объем тела, образованного вращением вокруг оси Ох фи­гуры, ограниченной графиками функций у = 2х-х^2, у = -х+2

математика ВУЗ 2109

Решение



Ответ: В решение

Написать комментарий

Меню

Присоединяйся в ВК