Задать свой вопрос   *более 50 000 пользователей получили ответ на «Решим всё»

Задача 23142 Найти объем тела, образованного...

Условие

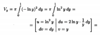
Найти объем тела, образованного вращением вокруг оси Оу области, ограниченной линиями у = е^(-х), х=0, у=0 (х > = 0)

математика ВУЗ 727

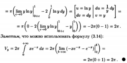
Решение



Ответ: 2Pi

Написать комментарий

Меню

Присоединяйся в ВК