Задать свой вопрос
*более 50 000 пользователей получили ответ на «Решим всё»
Задача 23056
...
Условие
slava191
30.01.2018
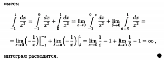
Исследовать сходимость интеграла ∫_(-1)^(1) dx/x^2
математика ВУЗ
647
Решение
Ответ:
расходится
Написать комментарий
Меню
Решим всё
Найти задачу
Категории
Статьи
Тесты
Архив задач
Присоединяйся в ВК