Задать свой вопрос   *более 50 000 пользователей получили ответ на «Решим всё»

Задача 23 Решите систему неравенств...

Условие

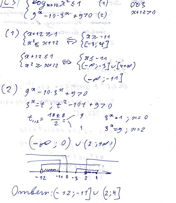
Решите систему неравенств system{log(x+12)x^2 меньше или равно 1;9^x-10*3^x+9>0}

математика 10-11 класс 8488

Решение

Находим ОДЗ, решаем логарифмическое и показательно неравенства, пересекаем и получаем ответ.

Ответ: (-12;-11]U(2;4]

Ошибки в решение (1)

Все решения

Написать комментарий

Меню

Присоединяйся в ВК