Задать свой вопрос   *более 50 000 пользователей получили ответ на «Решим всё»

Задача 2289 Медианы AA1, ВВ1 и СС1 треугольника ABC...

Условие

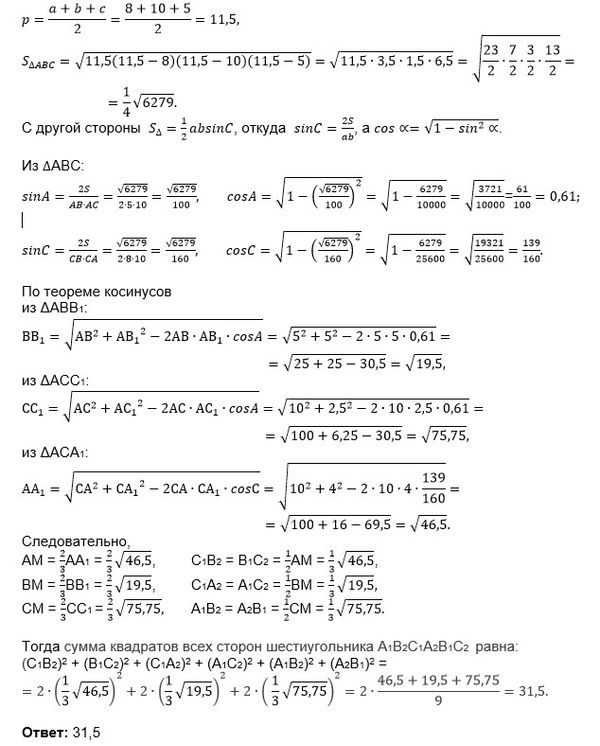
Медианы AA1, ВВ1 и СС1 треугольника ABC пересекаются в точке М. Точки А2, В2 и С2 являются соответственно серединами отрезков MA, MB и MC.
а) Докажите, что площадь шестиугольника A1B2C1A2B1C2 вдвое меньше площади треугольника ABC.
б) Найдите сумму квадратов всех сторон этого шестиугольника, если известно, что AB=5, BC=8 и AC=10

математика 10-11 класс 29641

Решение



Ответ: 63/2

Ошибки в решение (1)

Все решения

Написать комментарий

Меню

Присоединяйся в ВК