Задать свой вопрос
*более 50 000 пользователей получили ответ на «Решим всё»
Задача 22807
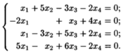
4. Решить однородную систему уравнений....
Условие
slava191
23.01.2018
4. Решить однородную систему уравнений. Указать общее решение и фундментальную систему решений.
математика ВУЗ
800
Решение
SOVA
24.01.2018
★
Написать комментарий
Меню
Решим всё
Найти задачу
Категории
Статьи
Тесты
Архив задач
Присоединяйся в ВК