Задать свой вопрос
*более 50 000 пользователей получили ответ на «Решим всё»
Задача 22805
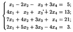
2. Решить систему уравнение методом...
Условие
slava191
23.01.2018
2. Решить систему уравнение методом Гаусса. Указать общее и одно частное решения.
математика ВУЗ
4045
Решение
vk318474530
24.01.2018
★
Все решения
SOVA
24.01.2018
.
Написать комментарий
Меню
Решим всё
Найти задачу
Категории
Статьи
Тесты
Архив задач
Присоединяйся в ВК