Задать свой вопрос
*более 50 000 пользователей получили ответ на «Решим всё»
Задача 2267
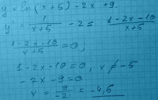
Найдите точку максимума функции...
Условие
slava191
22.11.2014
Найдите точку максимума функции y=ln(x+5)-2x+9
математика 10-11 класс
43423
Решение
Ответ:
-4.5
Написать комментарий
Меню
Решим всё
Найти задачу
Категории
Статьи
Тесты
Архив задач
Присоединяйся в ВК