Задать свой вопрос   *более 50 000 пользователей получили ответ на «Решим всё»

Задача 22667 Найти значения...

Условие

Найти значения выражения:

1*2+2*3+3*4+...+2016*2017 / 2^2+4^2+6^2+...+2016^2

математика 10-11 класс 1903

Решение

1*2=1*(1+1)=1^2+1
2*3=2*(2+1)=2^2+2
...
2016*2017=2016*(2016+1)=2016^2+2016

Складываем, получаем, что в числителе cумма двух выражений:
(1^2+2^2+...+2016^2)+(1+2+...2016)
Для вычисления этих сумм есть формулы:

(1+2+...2016)=(1+2016)*2016/2=2017*1008 - формула суммы n членов арифметической прогрессии.

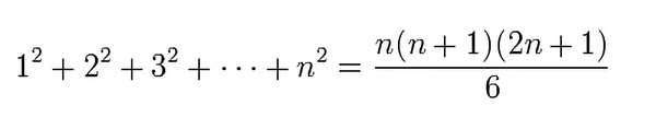
1^2+2^2+...+2016^2=2016*2017*4033/6 ( cм. рис.)


(1^2+2^2+...+2016^2)+(1+2+...2016)=
=2017*1008*((4033/3)+1)

Написать комментарий

Меню

Присоединяйся в ВК