Задать свой вопрос   *более 50 000 пользователей получили ответ на «Решим всё»

Задача 2265 Найдите наименьшее значение функции...

Условие

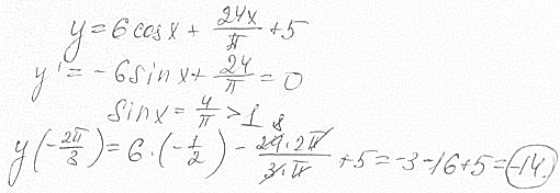
Найдите наименьшее значение функции y=6cosx+24x/П+5 на отрезке [-2П/3; 0].

математика 10-11 класс 66445

Решение



Ответ: -14

Вопросы к решению (1)

Написать комментарий

Меню

Присоединяйся в ВК