Задать свой вопрос   *более 50 000 пользователей получили ответ на «Решим всё»

Задача 22067 Л15) Решите неравенство...

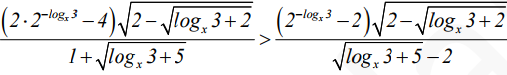
Условие

Л15) Решите неравенство

математика 10-11 класс 749

Решение

OДЗ:
{x > 0; x≠1
{log_(x)3+2 > 0 ⇒ log_(x)3 > -2
{2-sqrt(log_(x)3+2) > 0 ⇒ log_(x)3 < 2
{log_(x)3+5 > 0 ⇒ log_(x) 3 > -5

-2 < log _(x) 3 < 2, x > 0; x≠1


Так как
2*2^(-log_(x)3)-4=2*(2^(-log_(x)3)-2), то числитель первой дроби в два раза больше числителя второй.

Замена переменной
log_(x)3=t.

Перенесем слагаемые влево и вынесем за скобки общий множитель.

Неравенство примет вид:

(2^(-t)-2)*sqrt(2-sqrt(t+2))*(2/(1+sqrt(t+5))-1/(sqrt(t+5)-2)) > 0

(2^(-t)-2)*sqrt(2-sqrt(t+2))*(sqrt(t+5)-5)/((sqrt(t+5)+1)*(sqrt(t+5)-2)) > 0

Применяем обобщенный метод интервалов.
Находим нули числителя:
2^(-t)-2=0 ⇒ 2^(-t)=2 ⇒ -t=1 ⇒ t=-1
sqrt(2-sqrt(t+2))=0 ⇒ sqrt(t+2)=2 ⇒ t+2=4 ⇒ t=2
sqrt(t+5)-5=0 ⇒ sqrt(t+5)=25 ⇒ t=20
Находим нули знаменателя:
(sqrt(t+5)+1 > 0 - верно при любом t > -5
(sqrt(t+5)-2=0 ⇒ t+5=4 ⇒ t=-1

_+___ (-1) ___+__ (2) ___-___ (20) ___+___

Учитывая согласно ОДЗ -2 < t < 2, получаем,
-2 < t < -1 или -1 < t < 2

Обратная замена
-2 < log_(x)3 < -1 или -1 < log_(x)3 < 2
Применяя метод рационализации логарифмических неравенств, получаем
{(x-1)*(3-(1/x)) < 0
{(x-1)*(3-(1/x^2)) > 0
или
{(x-1)*(3-(1/x)) > 0
{(x-1)*(3-x^2)) < 0

Первая система имеет решение
{x < 0 или 1/3 < x < 1
{(-sqrt(1/3);0)U(0;sqrt(1/3)) U(1;+ бесконечность)
(-sqrt(1/3);0)U(1/3;sqrt(1/3))
с учетом x > 0
О т в е т.1)(1/3;sqrt(1/3))

Первая система имеет решение
{0 < x < 1/3 или x > 1
{(-sqrt(3);1)U(sqrt(3);+ бесконечность)
и с учетом ОДЗ
О т в е т. 2) ( 0; 1/3) U (sqrt(3);+ бесконечность)

О т в е т. (0;1/3)U(1/3;sqrt(1/3))U(sqrt(3);+ бесконечность)

Написать комментарий

Меню

Присоединяйся в ВК