Задать свой вопрос   *более 50 000 пользователей получили ответ на «Решим всё»

Задача 22013 Подскажите, это неравенство можно же так...

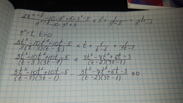
Условие

Подскажите, это неравенство можно же так решить?

27^(x+1/3)-10*9^x+10*3^(x)-5 / 9^(x+1/2) ...

математика 9779

Решение

В самой первой дроби выделить целую часть :
применить искусственный прием или деление многочлена на многочлен. Тогда t слева и t справа исчезнут.

3t^3-10t^2+10t-5=3t^3-10t^2+3t+7t-5

((3t^3-10t^2+3t)+(7t-5))/(3t^2-10t+3)= и почленно делим первую скобку на знаменатель и вторую на знаменатель (действие обратное приведению к общему знаменателю)=

=t+ ((7t-5)/(3t^2-10t+3))

Неравенство принимает вид:

(7t-5)/((t-3)(3t-1)) меньше или равно (3t-1+t-2)/((t-2)(3t-1))

((7t-5)*(t-2) - (t-3)*(4t-3))/((t-2)(t-3)(3t-1)) меньше или равно 0

(3t^2-4t+1)/ ((t-2)(t-3)(3t-1)) меньше или равно 0

(t-1)(3t-1)/((t-2)(t-3)(3t-1)) меньше или равно 0

(t-1)/((t-2)(t-3)) меньше или равно 0 при t ≠ 1/3

_-__ (1/3) _-_ [1] _+__ (2) _-__ (3) __+___


C учетом t > 0

0 < t < 1/3 или (1/3) < t меньше или равно 1 или

2 < t < 3

Обратная замена

0 < 3^x < 1/3 или (1/3) < 3^xменьше или равно 1 или 2 < 3^x < 3

x < -1 или -1 < x меньше или равно 0 или
log_(3)2 < x < 1

О т в е т. ( - бесконечность; -1) U (-1; 0] U (log_(3)2;1)

Написать комментарий

Меню

Присоединяйся в ВК