Задать свой вопрос   *более 50 000 пользователей получили ответ на «Решим всё»

Задача 21939 Решите неравенство log34-4x >...

Условие

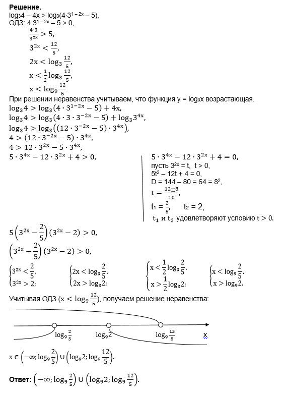
Решите неравенство log34-4x > log3(4*3^(1-2x)-5)

математика 10-11 класс 4721

Решение

ОДЗ:
4*3^(1-2x)-5 > 0 ⇒ 4*3^(2x)*3^(1-2x) > 5*3^(2x);
12 > 5*3^(2x);
3^(2x) < 12/5
9^(x) < (12/5)
x < log_(9) (12/5)


Перепишем уравнение так:
log_(3) > 4x+ log_(3)(4*3^(1-2x)-5)

Так как
log_(3)3^(4x)=4x

log_(3)4 > log_(3)3^(4x) +log_(3)(4*3^(1-2x)-5)

Заменим сумму логарифмов логарифмом произведения

log_(3)4 > log_(3)3^(4x) *4*3^(1-2x)-5)
Логарифмическая функция с основанием 3 монотонно возрастает, поэтому
4 > 3^(4x)*3^(1-2x)-5

4 > 3^(4x+1-2x) -5*3^(4x)
4 > 3^(1+2x)-5*3^(4x)

Замена переменной
3^(2x)=t
t > 0
Квадратное неравенство
5t^2–12t+4 > 0
D=(–12)^2–4·5·4=144-80=64
t1=2/5 или t2=2

3^(2x) < 2/5 или 3^(2x) > 2
9^x < (2/5) или 9^x > 2

x < log_(9)(2/5) или x > log_(9)2

C учетом ОДЗ получаем ответ.
О т в е т. (-бесконечность; log_(9)(2/5)) U (log_(9) 2; log_(9) (12/5))

Вопросы к решению (1)

Все решения

Написать комментарий

Меню

Присоединяйся в ВК