Задать свой вопрос   *более 50 000 пользователей получили ответ на «Решим всё»

Задача 21926 log^2_(|x|)(x^2)+log2(x^2) меньше или...

Условие

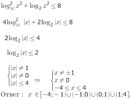
log^2_(|x|)(x^2)+log2(x^2) меньше или равно 8

математика 10-11 класс 1030

Решение

ОДЗ:
{x^2 > 0 ⇒ x ≠ 0
{|x| > 0 ⇒ x ≠ 0
{|x| ≠ 1 ⇒ x ≠ ± 1

Так как log_(|x|)x^2=2log_(|x|)|x|=2, то
log^2_(|x|)x^2=4
Неравенство принимает вид
4+log_(2)x^2 меньше или равно 8;
log_(2) x^2 меньше или равно 4;
log_(2)x^2 меньше или равно log_(2) 16
Логарифмическая функция с основанием 2 возрастающая, большему значению функции соответствует большее значение аргумента.

x^2 меньше или равно 16
x ∈ [-4;4]
C учетом ОДЗ
[-4;-1)U(-1;0)U(0;1)U(1;4]
О т в е т. [-4;-1)U(-1;0)U(0;1)U(1;4]

Все решения

Решение в закрепленной фотографии

Написать комментарий

Меню

Присоединяйся в ВК