Задать свой вопрос   *более 50 000 пользователей получили ответ на «Решим всё»

Задача 21708 Решите неравенство log(x-3)2+log(x+3)2...

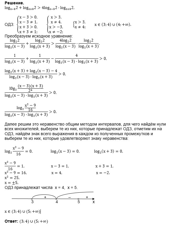
Условие

Решите неравенство

log(x-3)2+log(x+3)2 > 4log(x-3)2*log(x+3)2

математика 10-11 класс 4987

Решение

ОДЗ:
{x-3 > 0; x-3 ≠ 1 ⇒ x ∈ (3;4)U(4;+ бесконечность)
{x+3 > 0; x+3 ≠ 1 ⇒ x ∈ (-3;-2)U(-2;+ бесконечность )

ОДЗ: х ∈ (3;4)U(4;+ бесконечность)

По формуле перехода к другому основанию
(1/log_(2)(x-3))+(1/log_(2)(x+3)) > 4/(log_(2)(x-3))*(log_(2)(x+3))
Приводим к общему знаменателю и применяем формулу суммы логарифмов

(log_(2)(x+3)+log_(2)(x-3) - 4)/(log_(2)(x-3))*(log_(2)(x+3)) > 0

(log_(2)((x^2-9)/16))/(log_(2)(x-3))*(log_(2)(x+3)) > 0

Применяем обобщенный метод интервалов

Нули числителя:
log_(2)((x^2-9)/16)=0

(x^2-9)/16=1
x^2-9=16
x^2=25
x= ± 5
х=-5 не принадлежит ОДЗ

Нули знаменателя:
log_(2)(x-3)=0 или log_(2)(x+3)=0
x=4 или х=-2

х=-2 не принадлежит ОДЗ

(3)__+__ (4) ___-__ (5) __+___

О т в е т. (3;4) U(5;+ бесконечность)

Все решения

Написать комментарий

Меню

Присоединяйся в ВК