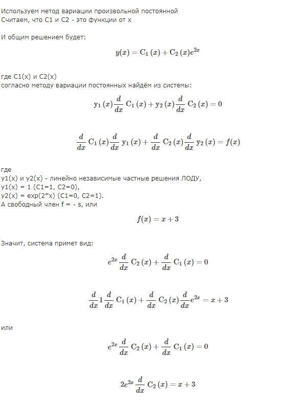
у''-2у'=х+3
y``-2y=0
Составляем характеристическое уравнение
k^2-2k=0
k(k-2)=0
k=0 или k=2
Общее решение однородного
y=C_(1)e^(0x)+C_(2)e^(2x)
Для нахождения решения однородного уравнения применяем метод вариации произвольных постоянных
