Задать свой вопрос   *более 50 000 пользователей получили ответ на «Решим всё»

Задача 21227 ...

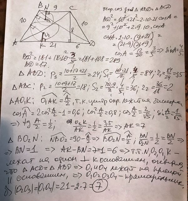
Условие

В равнобедренной трапеции ABCD AD BC, AD = 21, AB = 10, BC = 9. Диагонали AC и BD разбивают трапецию на четыре перекрывающихся треугольника DAB, ABC, BCD, CDA. В каждый треугольник вписаны окружности w1, w2, w3, w4 соответственно, центры которых расположены в точках O1, O2, O3, O4.

а) Докажите, что четырёхугольник O1O2O3O4 — прямоугольник.

б) Найдите длину O2O3.

математика 10-11 класс 5166

Решение

Вопросы и комментарии 495-720-0951 или prois@mail.ru Елена Викторовна

Написать комментарий

Категория

Меню

Присоединяйся в ВК