Задать свой вопрос   *более 50 000 пользователей получили ответ на «Решим всё»

Задача 21224 Решите неравенство 4x+log29 >...

Условие

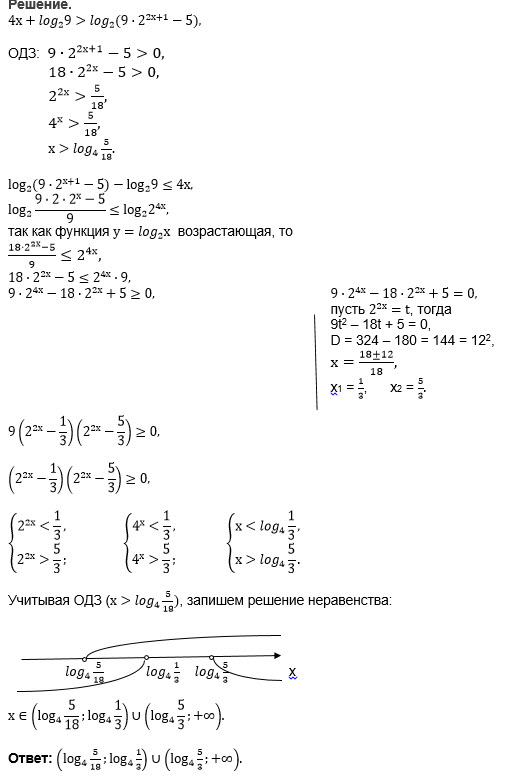
Решите неравенство 4x+log29 > log2(9*2^(2x+1)-5)

математика 10-11 класс 3976

Решение

ОДЗ:
9*2^(2х+1)-5
2^(2x+1) > 5/9
2*2^2x > (5/9)
4^x > (5/18)
x > log_(4)(5/18)

Так как
4x=log_(2)2^(4x)
4x+log_(2)9=log_(2)2^(4x)+log_(2)9=log_(2)(9*2^4x)

Неравенство принимает вид
log_(2)(9*2^4x) > log_(2)(9*2^(2x+1)-5)
Логарифмическая функция с основанием 2 > 1 возрастающая, поэтому
9*2^4x > 9*2^(2x+1)-5
Замена переменной
2^(2x)=t
t > 0
2^(2x+1)=2t
9t^2-18t+5 > 0
D=324-180=144
t1=(18-12)/18=1/3 или t2=(18+12)/18=30/18=5/3
t < 1/3 или t > 5/3
2^2x < 1/3 или 2^(2x) > (5/3)
4^x < (1/3) или 4^x > (5/3)
x < log_(4)(1/3) или х > log_(4)(5/3)

5/18 < 6/18=1/3

C учетом ОДЗ получаем
(log_(4)(5/18);log_(4)(1/3)) U( log_(4)(5/3);+ бесконечность )
О т в е т. (log_(4)(5/18);log_(4)(1/3)) U( log_(4)(5/3);+ бесконечность )

Все решения

Написать комментарий

Меню

Присоединяйся в ВК