Задать свой вопрос   *более 50 000 пользователей получили ответ на «Решим всё»

Задача 2083 Вычислите угол между прямыми АВ и СD,...

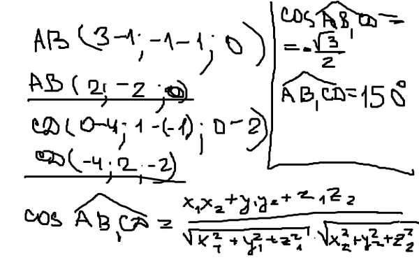
Условие

Вычислите угол между прямыми АВ и СD, если А(1;1;0), В (3;-1; 0), С(4; -1;2),
D (0;1;0)

математика 10-11 класс 13286

Все решения

аналогично этой задаче http://reshimvse.com/zadacha.php?id=2088 только в итоге выразите арккосмнус

Ответ:150

Написать комментарий

Меню

Присоединяйся в ВК