


Неопределенность 0/0
Раскладываем на множители и числитель и знаменатель
3x^2+2x–1=(x+1)(3x–1)
27x^3-1=(3x-1)(9x^2+3x+1)
Сокращаем и числитель и знаменатель на (3х-1)
О т в е т. ((1/3)+1)/(9*(1/3)^2+3*(1/3)+1)=4/9
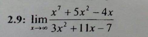
2.9
Неопределенность бесконечность/бесконечность.
Делим и числитель и знаменатель на x^7
(1+0-0)/(0+0-0)= бесконечность
1.9
Неопределенность бесконечность/бесконечность.
Делим и числитель и знаменатель на x^7
(1+0-0)/(1+0+0)=1