Задать свой вопрос
*более 50 000 пользователей получили ответ на «Решим всё»
Задача 2066
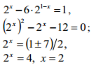
Решите уравнение 2^(x)-6*2^(1-x)=1 ...
Условие
slava191
24.10.2014
Решите уравнение 2^(x)-6*2^(1-x)=1
математика 10-11 класс
2101
Решение
Ответ:
2
Написать комментарий
Меню
Решим всё
Найти задачу
Категории
Статьи
Тесты
Архив задач
Присоединяйся в ВК