Задать свой вопрос   *более 50 000 пользователей получили ответ на «Решим всё»

Задача 20612 Мат анализ. Помогите решить...

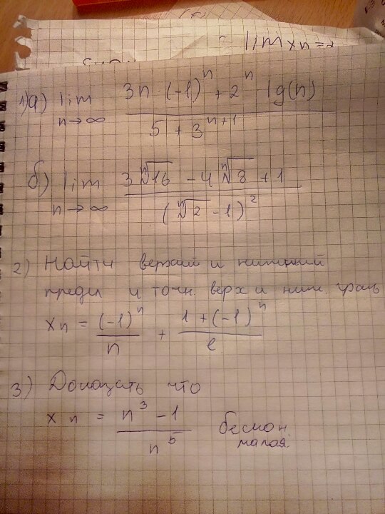
Условие

Мат анализ. Помогите решить пожалуйста.
1) Найти пределы
2.3) Написано на листке

математика ВУЗ 645

Решение

1а) и 1б) см. здесь
https://reshimvse.com/zadacha.php?id=20292
2) При n=2k, k - натуральное
х_(2k)=(1/2k)+(2/e)
при k→∞ (x_(2n)) →(2/e) - это верхний предел.
При n=2k+1, k - натуральное
х_(2k+1)=(-1/(2k+1))+0
при k→∞ (x_((2k+1))) →0 - это нижний предел.

3) x_(n)=(1/n^2)-(1/n^5)
- разность двух бесконечно малых послед. есть послед. бесконечно малая

Написать комментарий

Меню

Присоединяйся в ВК