Задать свой вопрос   *более 50 000 пользователей получили ответ на «Решим всё»

Задача 2060 Даны вершины треугольника A(-1; -2; 4),...

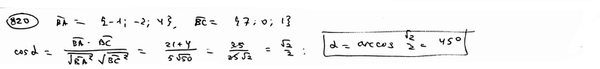
Условие

Даны вершины треугольника A(-1; -2; 4), B(-4; -2; 0), C(3; -2; 1). Определить его внутренний угол при вершине В.

математика ВУЗ 51825

Решение

[b]Более подробное решение здесь: [link=http://reshimvse.com/zadacha.php?id=12948][/b]

Ответ: В решение

Вопросы к решению (2)

Написать комментарий

Меню

Присоединяйся в ВК