Задать свой вопрос   *более 50 000 пользователей получили ответ на «Решим всё»

Задача 20558 Задача 9. Определить характер функций...

Условие

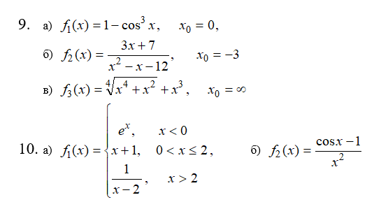
Задача 9.
Определить характер функций (б.б., б.м.) f1(x), f2(x), f3(x) в точке x0 и выделить главную часть.

Задача 10.
Исследовать функции f1(x), f2(x) на непрерывность, установить тип точек разрыва и сделать графики функций в окрестности точек разрыва..

математика ВУЗ 2518

О решение...

На нашем сайте такое бывает редко, но решение к данной задаче еще никто не написал.

Что Вы можете сделать?

  1. Выставите данный вопрос вновь. Перейдите на главную страницу.
  2. Найдите похожую задачу. Используйте поиск.

Написать комментарий

Меню

Присоединяйся в ВК