Задать свой вопрос   *более 50 000 пользователей получили ответ на «Решим всё»

Задача 2052 Даны вершины треугольника A(3; 2; -3),...

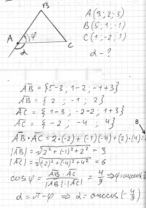
Условие

Даны вершины треугольника A(3; 2; -3), B(5; 1; -1), C(1; -2; 1). Определить его внешний угол при вершине А.

математика ВУЗ 57257

Решение



Ответ: В решение

Вопросы к решению (1)

Написать комментарий

Меню

Присоединяйся в ВК