Задать свой вопрос   *более 50 000 пользователей получили ответ на «Решим всё»

Задача 20465 ...

Условие

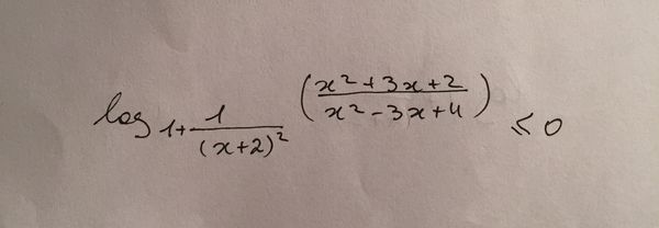
log(1+(1/(x+2)^2)((x^2+3x+2)/(x^2-3x+4))⩽0

предмет не задан 454

Решение

Метод рационализации логарифмических неравенств:
{(x^2+3x+2)/(x^2–3x+4) > 0⇒ x^2+3x+2 > 0 ⇒ (-∞;-2)U(-1;+∞)
{ 1+(1/(x+2)^2 ) > 0 верно при х≠ -2
{(1+(1/(x+2)^2)-1)* ((x^2+3x+2)/(x^2–3x+4) -1) меньше или равно 0 ⇒ (6x-2)/((x+2)^2*(x^2-3x+4))меньше или равно 0

__-___ (-2) ___ (-1) ____-____ [3] __+___

О т в е т. (- бесконечность;-2) U(-1;3]

Написать комментарий

Меню

Присоединяйся в ВК