Задать свой вопрос   *более 50 000 пользователей получили ответ на «Решим всё»

Задача 20407 Решить уравнение и определить его корни...

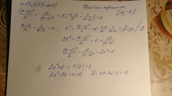
Условие

Решить уравнение и определить его корни на промежутке. Способ решения понятен, но что-то получается не так. Даже при таком дискриминанте, продолжая решать, приходишь к тупику. Что не так, подскажите. В соседних вариантах такие же уравнения решаются, а вот два уравнения приводят к такому тупику.

математика 10-11 класс 669

О решение...

На нашем сайте такое бывает редко, но решение к данной задаче еще никто не написал.

Что Вы можете сделать?

  1. Выставите данный вопрос вновь. Перейдите на главную страницу.
  2. Найдите похожую задачу. Используйте поиск.

Написать комментарий

Меню

Присоединяйся в ВК