Задать свой вопрос   *более 50 000 пользователей получили ответ на «Решим всё»

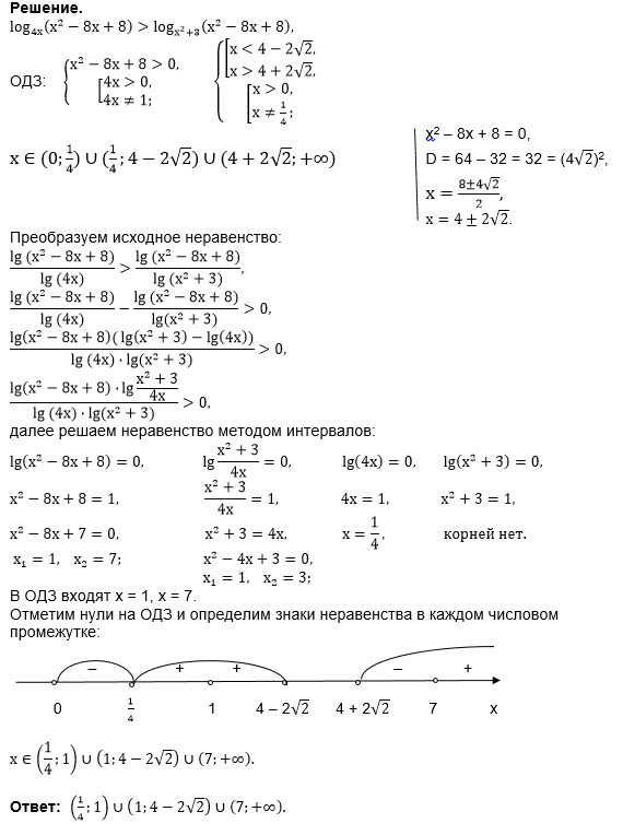
Задача 20326 Решите неравенство log(4x)(x^2-8x+8) >...

Условие

Решите неравенство

log(4x)(x^2-8x+8) > log(x^2+3)(x^2-8x+8)

математика 10-11 класс 4367

Решение

Решаем систему( см. объяснения в приложении):
{x^2-8x+8 > 0 ⇒ x ∈ (- ∞:4-√2)U(4+√2;+∞)
{4x > 0 ⇒ x ∈ (0 ;+∞)
{x^2+3 > 0 ⇒ x ∈ (– ∞ ;∞)
{x^2-8x+8–1)·(x^2+3-4x)/((4x–1)·(x^2+3–1)) > 0 ⇒
((x^2-8x+7)(x–1)(x–3))/((x^2+2)·(4x–1)) > 0
Решаем последнее неравенство методом интервалов.

x2–8x+7=0
D=64–4·7=36
x=1 или х=7

4x-1=0
x=1/4

_–_ (1/4) _+_ (1) _+_ (3) _-_ (7) _+ _

x ∈ ((1/4;1)U(1;3)U(7;+ ∞)

Решение системы (1/4;1)U(1;4-√2)U(7;+ ∞)

О т в е т. (1/4;1)U(1;4-√2)U(7;+ ∞)

Ошибки в решение (1)

Все решения

Написать комментарий

Меню

Присоединяйся в ВК