Задать свой вопрос   *более 50 000 пользователей получили ответ на «Решим всё»

Задача 20274 4. Привести уравнения линий к...

Условие

4. Привести уравнения линий к каноническому виду и построить их:

1) x^2+y^2-13x+2y-3 = 0;
2) 5y^2-4x^2+16x-36 = 0
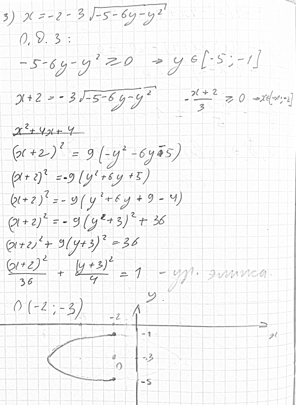
3) x = -2-3sqrt(-5-6y-y^2)
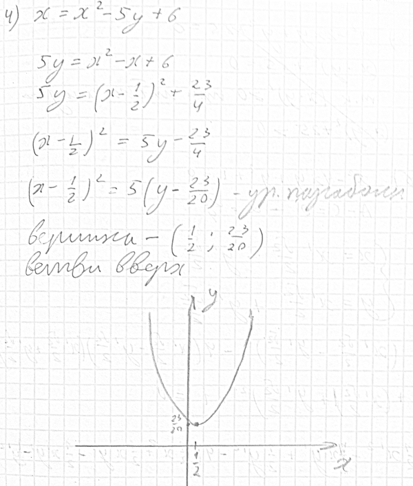
4) x = x^2-5y+6
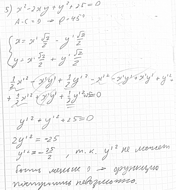
5) x^2-2xy+y^2+25 = 0
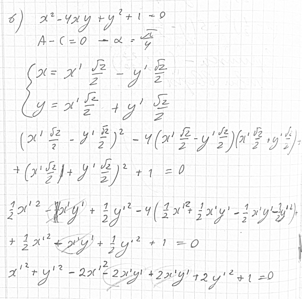
6) x^2-4xy+y^2+1 = 0

математика ВУЗ 2798

Решение

Написать комментарий

Меню

Присоединяйся в ВК